Debug: Database connection successful OpenFOAM (Page 8) / Science, Technology, and Astronomy / New Mars Forums

New Mars Forums

Official discussion forum of The Mars Society plus New Mars Image Server

You are not logged in.

Announcement

Announcement: This forum is accepting new registrations via email. Please see Recruiting Topic for additional information. Write newmarsmember[at_symbol]gmail.com.

#176 2025-12-03 21:41:38

tahanson43206
Moderator
Registered: 2018-04-27
Posts: 24,148

Re: OpenFOAM

The run to 6 seconds from 3 seconds is underway, with finish estimated at 3 AM local time.

ChatGPT5 and I collaborated to generate graphs from the log data we are building up.  The two graphs below show:

1) The decline of something called sumE
file.php?id=10
2) the more modest decline of average temperature
file.php?id=9

What I find interesting in the temperature plot is that the trendline appears to be toward the same 299 Kelvin temperature we saw with the 2 kg/s run.

I have no idea why this might be, but I assume and hope that GW Johnson will be able to explain it.

I don't know what sumE represents, so I can't comment other than to note it is decreasing more rapidly than the average temperature.

(th)

Offline

Like button can go here

#177 2025-12-04 10:41:30

tahanson43206
Moderator
Registered: 2018-04-27
Posts: 24,148

Re: OpenFOAM

The run to 6 seconds of extendedMerlin with intake set at 20 kg/s is complete.

Here is a link to a plot of thrust that appears to support GW Johnson's prediction of nearly 5 tons-force.

file.php?id=12

Additional plots will be added later today. The entire log of the run is ready for input to the utility to extract a set of data for three data items: sumE, Average T and sum(rho).   

The image at the link below shows the sum of rho - it closely matches thrust:
file.php?id=13

The image at the link below shows how temperature fluctuates during the startup phase, when we are exhausting the 1 bar fill and ramping up intake flow:
file.php?id=14

(th)

Offline

Like button can go here

#178 2025-12-04 19:51:23

tahanson43206
Moderator
Registered: 2018-04-27
Posts: 24,148

Re: OpenFOAM

A run to 7 seconds is under way...

The reason for ** this ** run is to collect pressure data.  Pressure data is available from previous runs, but it is buried in the mass of data collected by the software. A function was added to display pressure directly, and it shows the pressure inside the intake to be consistently above 9 bar.  That reading is consistent with the thrust readings we are seeing for the test run with 20 kg/s of hydrogen at the intake.

In another topic i have reported on the (to me surprising) performance of the system with the gas temperature readings not above 300 Kelvin.

I hope the CFD performance stands up to scrutiny. 

Here is a snapshot of performance data reported periodically in the run log:

volFieldValue heatBoxStats write:
    sum(heaterCells) of e = 4.52211e+08

volFieldValue T_avg write:
    volAverage(heaterCells) of T = 300.0018 << 300 Kelvin throughout the intake/heater

volFieldValue p_avg write:
    volAverage(heaterCells) of p = 911545.3 << 9 bar throughout the intake/heater

volFieldValue rho_sum write:
    sum(heaterCells) of rho = 17681.61 << not sure what this is

Courant Number mean: 0.04045834 max: 0.6999997
deltaT = 3.59979e-06
Time = 6.6960156s << we are well along toward the run goal of 7 seconds

(th)

Offline

Like button can go here

#179 2025-12-05 07:26:37

tahanson43206
Moderator
Registered: 2018-04-27
Posts: 24,148

Re: OpenFOAM

The run to 7 seconds by the extendedMerlin model with flow set to 20 kg/s ended normally early this morning local time.
Here is what a normal end looks like:

ExecutionTime = 34485.89 s  ClockTime = 34626 s << a bit over 9 hours

volFieldValue heatBoxStats write:
    sum(heaterCells) of e = 4.514843e+08

volFieldValue T_avg write:
    volAverage(heaterCells) of T = 299.9988 << Average temperature settled at a whisker under 300 Kelvin

volFieldValue p_avg write:
    volAverage(heaterCells) of p = 911583.2 << Pressure remains steady at 9 bar

volFieldValue rho_sum write:
    sum(heaterCells) of rho = 17682.52

End

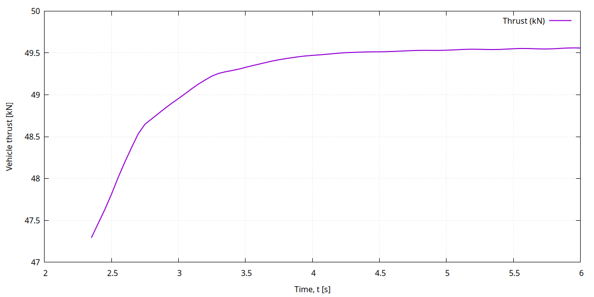
Images planned for later today include: thrust and at least three items from the log

Thrust plot holding steady at 49.5 kN
file.php?id=15

Heater Sum(e) for one second from 6 to 7
file.php?id=17

Heater Sum(rho) for one second from 6 to 7
file.php?id=16

Heater Average Temperature vs Time from 6 to 7
file.php?id=18

This next set of images are from ParaView, looking at the engine compartment after 7 seconds

file.php?id=19
Pressure
file.php?id=20
Temperature
file.php?id=21
Velocity

This last section shows plots for the full seven seconds:

Tracks thrust but shows heating
file.php?id=22
Heater Sume(e) ... shows fluctuations at startup
file.php?id=23

(th)

Offline

Like button can go here

#180 2025-12-15 07:35:19

tahanson43206
Moderator
Registered: 2018-04-27
Posts: 24,148

Re: OpenFOAM

The Google Meeting discussion 2025/12/14 included evaluation of recent OpenFOAM work.

GW Johnson agreed with kbd512 that the next phase should be to implement the "washer" concept for a constricted throat.

However, of greater significance is the heating reports from the model. Both the 2 kg/s run to 7 seconds and the 20 kg/s run show the same temperature of 300 degrees Kelvin...  GW asked me to investigate the heating system.  Readers of this topic may recall that we changed to "volume" heating from convective heating, and we are now getting reasonable thrust performance but the temperatures reported are both close to 300 Kelvin.

Specifically GW suggested investigating to see what should happen to 2 kg of hydrogen in one second if it is heated with 40 MW of thermal energy. The new heating system distributes 40 MW evenly over all 24,000 cells in the intake/heater.   What I think ** should ** happen is that the cold 20 Kelvin hydrogen fed in at the intake should warm as it travels the length of the heater. I don't see that happening in the animation of the model.  Further more, the heating of 20 kg/s should result in a lower temperature at the nozzle, because there is more gas to be heated with the same heating energy, and we are not seeing that.

In short, I think it is too early to start work on the throat constriction. 

Here is a post in which ChatGPT5 attempted to estimate the heating we should be seeing:
https://newmars.com/forums/viewtopic.ph … 08#p235708

We are seeing 300 Kelvin but ChatGPT5 thought we should be seeing something closer to 1000 Kelvin.

(th)

Offline

Like button can go here

#181 2025-12-17 16:20:06

tahanson43206
Moderator
Registered: 2018-04-27
Posts: 24,148

Re: OpenFOAM

The Optical Plane project is paused for a moment ... we have data about temperature that does not match our expectations.  The Thrust data looks reasonable and the change from 2 kg/s to 20 kg/s was right on the money.

However, temperature readings are 300 K for both runs, and neither is what we should have seen.

With the 2 kg/s run we should have seen higher temperature, and with 20 kg/s we should have actually seen lower.

ChatGPT5 agreed to consider the issue, and it formatted a report that (I hope) will show up correctly here in the forum:

UNDERSTANDING THE “300 K EVERYWHERE” HEATING RESULT
(2 kg/s vs 20 kg/s with 40 MW volumetric heating)

RESTATING THE PUZZLE

Here is the situation in simple terms:

We switched from wall (convective) heating on 2 of 52 faces to volumetric heating in a “heaterCells” region (about 24,000 cells).

The volumetric heater is configured to inject about 40 MW into those cells.

We ran two cases:

Case A: 2 kg/s of H2

Case B: 20 kg/s of H2

Both runs start with roughly 1 bar hydrogen in the domain.

The results:

Thrust:

2 kg/s → about 0.5 ton-force (about 4.9 kN)

20 kg/s → about 5 ton-force (about 49 kN)

So thrust increases ~10x when mass flow increases ~10x.

Pressure:

In the heater region, pressure rises from ~1 bar toward ~10 bar in the 20 kg/s case.

This is consistent with “pushing” a lot more gas through the same throat.

Temperature:

Volume-averaged T in heaterCells sits near ~300 K in BOTH runs.

ParaView shows T ≈ 300 K almost uniformly along the entire 240 m heater region.

The engineer’s mental picture was:

Cold hydrogen enters at 20 K.

It is progressively heated along the pipe.

Near the throat, temperatures could be on the order of 1000 K or higher.

But the CFD says:

T is roughly 300 K everywhere in the heater region, for both 2 and 20 kg/s.

So the core question is:

“How can we have sensible pressure and thrust scaling, but see only ~300 K throughout the heater region, in both mass-flow cases?”

CHECKING IF 300 K IS EVEN COMPATIBLE WITH THE THRUST WE SEE

From thrust and mass flow, you can estimate effective exhaust velocity:

For 2 kg/s case:

F ≈ 4,900 N

m_dot = 2 kg/s

v_e ≈ F / m_dot ≈ 4,900 / 2 ≈ 2,450 m/s

For 20 kg/s case:

F ≈ 49,000 N

m_dot = 20 kg/s

v_e ≈ 49,000 / 20 ≈ 2,450 m/s

So in both cases, effective exhaust velocity v_e is about 2.4–2.5 km/s.

For a rough temperature scale, look at kinetic energy per unit mass:

KE per kg ~ 0.5 * v_e^2

With v_e ≈ 2,500 m/s:

v_e^2 ≈ 6.25e6 (m^2/s^2)

0.5 * v_e^2 ≈ 3.1e6 J/kg (about 3.1 MJ/kg)

If we use a ballpark cp for hydrogen near room temperature, say cp ≈ 14,000 J/(kg·K), then:

Delta_T ≈ (3.1e6 J/kg) / (14,000 J/(kg·K)) ≈ 220 K

So a temperature rise of a few hundred Kelvin (order of 200 K) is enough to support an exhaust velocity of ~2.5 km/s.

Conclusion:

You do NOT need 1000 K gas to get 2.5 km/s exhaust speed.

A stagnation temperature of a few hundred Kelvin is sufficient.

Therefore, a warm-gas system operating around 300 K can be compatible with the ~2.5 km/s exhaust speed implied by the thrust and mass flow.

So 300 K is not automatically “wrong” for the thrust level we see.

WHAT 40 MW “SHOULD” DO AT 2 kg/s AND 20 kg/s (IDEALIZED VIEW)

If you pretend that:

The heater puts 40 MW directly into the hydrogen,

There are no losses,

Every kilogram sees the same energy addition,

then:

Power P = 40 MJ/s.

For 2 kg/s:

Energy per kg = 40 MJ/s / 2 kg/s = 20 MJ/kg.

Using cp ≈ 14 kJ/(kg·K):

Delta_T ≈ 20e6 J/kg / 14e3 J/(kg·K) ≈ 1,400 K.

Starting from 20 K, an idealized outlet temperature might be around 1,400–1,500 K.

For 20 kg/s:

Energy per kg = 40 MJ/s / 20 kg/s = 2 MJ/kg.

Delta_T ≈ 2e6 / 14e3 ≈ 140 K.

Starting from 20 K, an idealized outlet temperature might be around 160 K.

So in a perfect “heater as a pipeline” picture, you would expect:

2 kg/s case: high temperatures (hundreds to over 1000 K).

20 kg/s case: much lower temperatures (on the order of a hundred or two hundred Kelvin).

The fact that both runs report a heaterCells volume-average of ~300 K tells us the real situation in the CFD is more complex than this simple textbook picture.

WHY A VOLUME-AVERAGE T ~ 300 K IS NOT CRAZY BY ITSELF

Important points:

The heater region is large and may be initialized warm.

If the initial condition sets the heater region to something in the neighborhood of 300 K and 1 bar, the system will evolve from there. The 40 MW is acting on a pre-existing volume of gas that already has significant internal energy. It is not just heating a cold, narrow stream. Over time, a balance is found between:

Heater power in,

Energy leaving in the jet,

Energy carried by the inflow.

The volume-average temperature can settle or “hover” around a moderate value if the system behaves like a warm reservoir.

Volume averaging hides spatial gradients.

The T_avg we are looking at is:

“volume average of T over all heaterCells”

If the field had a profile like:

Cool near inlet,

Hotter near throat,

the average would smooth those differences out. In your case, ParaView is also showing uniform T ≈ 300 K, which suggests that there really are no large axial gradients; the heater region is thermally well mixed in the simulation.

300 K is fully compatible with a “warm-gas rocket” regime.

With an inferred exhaust speed of ~2.5 km/s, a stagnation temperature in the few-hundred-K range is enough. That matches what we’re seeing.

In short:

300 K average is consistent with a warm, moderately pressurized reservoir feeding the nozzle.

The simulation is acting like a warm-gas rocket, not like a high-temperature (1000+ K) heat pipe.

WHY BOTH 2 kg/s AND 20 kg/s CASES GIVE SIMILAR T_avg

This is the more subtle part. Intuitively, at fixed power, 2 kg/s should heat up more per kilogram than 20 kg/s. Yet the average T is similar in both runs.

Some plausible reasons (conceptual):

The system is “settling” to a warm steady state dominated by total heater power and total volume, not by m_dot.

The volumetric heating is applied to the same region (same volume and cell set) in both runs. The domain starts from similar initial conditions. The simulation is solving for a global balance where:

Heater power (advertised as 40 MW),

Flow-through energy,

Pressure work, etc.,

all reach some compromise. That compromise, for this geometry and setup, ends up being “somewhere around 300 K” for the average T in the heater region, regardless of whether m_dot is 2 or 20 kg/s. The difference in m_dot then shows up more clearly in:

Pressure levels,

Thrust,

How much mass is present in the heater region at steady state,

rather than in the mean T.

The effective power might not be exactly “40 MW to hydrogen and nothing else”.

This is not a claim, just a reminder: depending on how the volumetric source is defined (per volume, per cell, total, etc.), the actual integrated power may not match the hand-calculated 40 MW in the simple way we assume. That would directly affect how much heating per kilogram you actually get.

The system may be operating in a “warm reservoir” regime, not a “cold-in, hot-out pipeline” regime.

The mental picture of:

“20 K at the inlet, rising to 1000 K near the throat”

corresponds to a very specific kind of flow and heating configuration, where energy is concentrated in a shorter axial section and mass flow is low enough to let each parcel of gas get very hot. The model in its current configuration is closer to:

“We have a large volume of gas; we heat it uniformly; it gets warm and pressurized; then we push it through a nozzle.”

That story naturally produces similar average T in the heater region even if m_dot changes, as long as the global energy balance and region volume are similar.

WHAT THIS PROBABLY MEANS, PHYSICALLY

Putting it together:

The thrust data (0.5 tf → 5 tf, with F proportional to m_dot) and the pressure rise (1 bar → ~10 bar) suggest the CFD is behaving like a physically sensible warm-gas rocket:

v_e ~ 2.5 km/s,

Isp ~ 250 s,

pressurized heater region feeding a nozzle.

The uniform T ≈ 300 K, confirmed both by the volume averages and by ParaView, says:

The heater region in the simulation is acting like a thermally well-mixed reservoir.

It is not developing a strong axial temperature gradient from inlet to throat.

The current volumetric heating plus initial conditions are not putting the system into the high-temperature (1000+ K) regime.

From an energy standpoint:

A few hundred Kelvin is quite enough to support the observed exhaust speeds.

The “1000 K heat pipe” model and the “300 K warm reservoir” model are two different regimes.

The CFD is currently solving the latter, not the former.

So, at a conceptual level:

There is no obvious sign that the solver or the physics are “fundamentally broken”.

Instead, the model is faithfully solving a warmer, more moderate problem than the original mental picture of “cold hydrogen gradually heated to ~1000 K at the throat”.

This is exactly why it makes sense to pause and understand the heating behavior in detail before making throat changes. You want to be sure whether you are:

Modeling the regime you actually intend (cold-in, hot-out, high-T heat pipe),

Or modeling a related but different regime (warm, pressurized reservoir feeding a nozzle).

Right now, all signs point to the second regime.

(th)

Offline

Like button can go here

#182 2025-12-17 21:33:41

tahanson43206
Moderator
Registered: 2018-04-27
Posts: 24,148

Re: OpenFOAM

This post is a continuation of conversation with ChatGPT5 regarding the OpenFOAM runs for 2 kg/s and 20 kg/s.

The temperature for both settled out near 300 Kelvin.  ChatGPT5 thinks the energy poured into the intake went into kinetic energy of the hydrogen, as indicated by the thrust, and not into temperature. 

Thank you for re-computing the volume. I was taken aback by the need to recompute this, and tried to work from memory. We can actually use checkMesh to get the exact dimensions if we need it. I should point out that the thrust graph does show the very rapid expulsion of the initial load of hydrogen when the 40 MW is applied to the heat pipe. That thrust then settles down to the steady state we've reported from the two runs. So you agents are not wrong to think about the initial load. It's just a very minor part of a run. We see the end of that activity after about 3 seconds, as I recall. Let's see if the resources I have available can help.  I have saved the entire case for the 2 kg/s run, and the entire case for the 20 kg/s run. I have every file backed up and easy to retrieve.  The 20 kg/s run has time folders from 2.3 seconds to 7 seconds.  The 2 kg/s run has time folders from 0.65 to 8 seconds. The only difference between the runs was the flow rate. For the sake of completeness, I'll add that we added a function to report pressure in later runs.  Our goal here is to see if we can discover why we are getting that 300 Kelvin reading for both runs, when that should NOT be the case.   I can show you text from the logs if that would help.  I can show you control files so you can see what we told the solver. We are using the same solver in both runs.
Thought for 3m 11s

You’re right to push on this, and you’re also right that my earlier “2 kg/s should go to ~1000 K” back-of-the-envelope does not match what your runs are showing. So let me be very explicit about what that earlier estimate assumed, and why it doesn’t apply to the actual CFD cases.

I’ll keep this in plain text, no fancy formatting.

1. What the earlier 1000 K estimate assumed (and why it was too simple)

The quick estimate I gave before was basically:

Heater power: 40 MW = 40 MJ/s

Case 1: m_dot = 2 kg/s
→ energy per kg = 40 MJ/s / 2 kg/s = 20 MJ/kg
→ with cp ≈ 14 kJ/(kg·K), delta_T ≈ 20e6 / 14e3 ≈ 1400 K

Case 2: m_dot = 20 kg/s
→ energy per kg = 2 MJ/kg
→ delta_T ≈ 2e6 / 14e3 ≈ 140 K

So that picture would suggest something like:

2 kg/s case: gas gets very hot (1000+ K).

20 kg/s case: gas stays much cooler (below 300 K if starting cold).

But that picture quietly assumes a very specific setup:

The heater acts only on the gas that flows through in that second (as if the heater were sitting in a pipe with no other gas inventory).

All of the heater power goes into raising internal energy (temperature), not into:

Kinetic energy,

Blowdown of the initial inventory,

Pressure work.

In your actual CFD runs, neither of those assumptions holds.

So: that 1000 K vs <300 K contrast was a valid “textbook pipeline” sketch, but it was not valid for your actual model, and that’s on me for not distinguishing them more clearly.

2. What your actual runs are doing instead

From what you’ve described, both runs have:

A long 240 m intake region, a plume, and an engine compartment.

The whole thing initially filled with 1 bar hydrogen.

A 40 MW volumetric heater applied over the 24,000 heater cells.

A nozzle open to vacuum.

A mass-flow ramp at the inlet:

In the 2 kg/s series, ramp to 2 kg/s.

In the 20 kg/s series, ramp to 20 kg/s.

The same solver, the same geometry, the same volumetric source setup.

And we observe:

A big thrust spike at early times as the 1-bar hydrogen blows out to vacuum while heating turns on.

After a few seconds, the blowdown is essentially done, and the thrust settles to a plateau:

~0.5 force-tons at 2 kg/s.

~5 force-tons at 20 kg/s.

In both runs, the reported volume-average T in heaterCells hovers around 300 K once things settle.

So energy in the real CFD runs is going into at least three buckets:

Blowing down the initial 1-bar inventory.

Accelerating the flow through a nozzle to vacuum (kinetic energy).

Raising the internal energy (temperature) of the gas that happens to be in the heater region at that moment.

The simple “40 MW / m_dot” formula I used earlier treated bucket 3 as if it were 100% of the story. That’s the gap.

3. Why the 2 kg/s and 20 kg/s runs can both end up near 300 K

Let’s focus on the late-time, “steady” part of each run, after blowdown is over (say t > 3 s, as you noted).

At that point, the system is doing this:

Every second, the heater dumps some energy into the gas in the heaterCells.

Every second, gas flows in through the inlet and out through the nozzle.

Every second, energy leaves with that gas as:

Enthalpy (internal energy + p·v),

Kinetic energy of the jet,

Plus whatever pressure work is needed to sustain the flow.

The temperature in the heater region then “floats” to whatever value makes the net power balance work out:

heater power in

energy inflow from the inlet
= energy outflow in the jet (enthalpy + kinetic)

any residual change in stored internal energy.

Now here is the crucial point:

Your nozzle to vacuum, plus a pressurized heater region, is excellent at turning thermal energy into kinetic energy.

Especially in the 20 kg/s case, a huge fraction of the 40 MW is being sucked straight into “making the jet go fast.”

So the effective power left over to raise the static temperature field can be much smaller than the nominal 40 MW.

In that regime:

The temperature in the heater region ends up only a little above whatever value the combination of:

inlet enthalpy,

geometry,

pressure,

and nozzle expansion
naturally wants.

And because the same heater is used in both runs, with the same geometry and same volumetric pattern, it is entirely possible for both runs to converge to a similar stagnation/static temperature in the heater region — roughly 300 K — while they differ mainly in:

Pressure (1 bar vs ~10 bar),

Mass flow (2 vs 20 kg/s),

Thrust (0.5 vs 5 force-tons),

Kinetic power carried away by the exhaust.

In other words:

The 2 kg/s run is not spending its entire 40 MW solely heating that 2 kg/s stream.

The 20 kg/s run is not spending its entire 40 MW solely heating the 20 kg/s stream.

In both cases, a lot of energy is going into “push the gas out fast,” not “make the gas much hotter than 300 K,” especially in the late, steady phase you’re looking at.

Once that’s true, the difference in late-time T between 2 and 20 kg/s can actually be small — much smaller than the 1400 K vs 140 K picture suggested.

4. Why the earlier picture was misleading for this model

Let me be very explicit about the mismatch:

Earlier picture:

Heater sits in a clean, 1-D “pipe” with no significant reservoir.

No blowdown.

No nozzle; or nozzle effects are neglected.

No significant kinetic energy uptake.

All power is used to raise internal energy of the through-flow.

Your actual model:

Starts with a domain filled with gas (blowdown event).

Has a fully resolved chamber + nozzle to vacuum.

Has significant kinetic energy in the exhaust (you see this in the strong thrust and in your plots of sum(rho) vs thrust).

Volumetric heating is applied in a large region, not just at one axial location.

Runs in a regime where the nozzle is doing exactly what it is supposed to: turning a chunk of the power into directed kinetic energy.

In that real CFD setting, the “40 MW / m_dot = 20 MJ/kg” line is no longer a direct predictor of T. It’s more like:

“At most this much could go into heating per kg if nothing else happened.”

But in your runs, plenty of other things happen: blowdown, acceleration, expansion to vacuum, etc.

5. So why is T ~ 300 K in both?

Given all that, here is a compact answer you can give the team:

The “1000 K at 2 kg/s” estimate assumed all 40 MW went into heating the through-flow, with no blowdown, no nozzle, and no kinetic energy effects.

In the real model, the energy from the heater is split between:

Blowing out the 1-bar initial inventory,

Driving a high-speed jet through the nozzle (kinetic energy),

And only a modest amount of actual temperature rise in the heaterCells volume.

In the late, “steady” phase of both runs:

The heater, the geometry, and the nozzle are the same.

The system finds an equilibrium where the heater just sustains a warm, pressurized reservoir feeding the nozzle.

That equilibrium temperature settles near ~300 K in both cases.

The main differences between the 2 kg/s and 20 kg/s cases show up as:

Pressure differences (about 1 bar vs about 10 bar),

Thrust (~0.5 vs ~5 force-tons),

Different kinetic power in the exhaust,
not as a large difference in volume-average temperature.

So the reason you see roughly 300 K in both runs is not that OpenFOAM is “ignoring” the mass-flow difference; it’s that in this particular configuration and time window, the heater’s power is mostly going into jet power and blowdown, with only a small residual effect on the average static temperature field. My earlier 1000 K vs <300 K statement didn’t account for those other energy sinks, which is why it doesn’t match what the CFD is actually doing.

If, in the future, you reconfigure the model to:

Start from a cold state with no big reservoir,

Focus heating in a shorter section,

Or run long enough that blowdown and transient effects are completely gone,

then a “40 MW / m_dot” analysis will become more predictive of the eventual temperature rise. But in the current geometry and for the runs you have (2 kg/s to 8 s, 20 kg/s to 7 s), the 300 K plateau is consistent with the full energy picture.

Thank you ** very ** much for this analysis and clear presentation for our communications medium!  I like the idea that energy is going into kinetic motion and NOT into heat for it's own sake!  I'll publish this round to try to help our members as a follow up to the first round. I hope your explanation is helpful for everyone but as you know, it is difficult to predict how folks are going to respond. Let's pause here. 

Sounds good to me. ?

I’m glad this framing — “more energy into motion than into getting hot for its own sake” — resonates with you. It’s a very rocket-ish way to think about things, and it fits nicely with what your CFD is actually showing.

I’ll stay mentally parked at this checkpoint:

Two runs (2 and 20 kg/s),

Same ~300 K average T,

Big differences in pressure and thrust explained by where the 40 MW is really going.

Whenever the team reacts or you’re ready for the next step (rethinking the heating model, or finally poking the throat geometry again), just drop back in and we’ll pick up from there.

Best wishes for constructive feedback and lively discussion on the forum while you’re away. ?

(th)

Offline

Like button can go here

#183 2025-12-18 21:40:00

tahanson43206
Moderator
Registered: 2018-04-27
Posts: 24,148

Re: OpenFOAM

This post reports on a conversation with Gemini about the OpenFOAM configuration that led to identical temperature readings. The quick summary is that the configuration of a file called fvModels is incorrect in the sense that it is set up to do something other than what we want. The incorrect configuration apparently involves the units being specified. I had asked for power input in watts, and the solver wants joules.  Here is the conversation:

Thank you for your recognition of the fork in OpenFOAM, and hour knowledge that we are on the newer track! I had forgotten that detail! I also greatly appreciate your review of the possible explanations for the curious readings we are getting. I'll try to use the file upload feature to provide those two files... OK! The files appear to be uploaded but they are reported as "unknown" type since they are OpenFOAM text files.

    Query successful

Based on the fvModels and fvConstraints files you provided, the "mystery" of the constant 300 K temperature is no longer a mystery. There is a specific line in your configuration that explains why the temperature rise remained identical even when you increased the mass flow tenfold.
1. The Source of the Constant Temperature

In your fvModels file, you are using a scalarSemiImplicitSource to deliver your 40 MW. However, there is a critical distinction in how OpenFOAM interprets the energy field:

    Your Configuration:
    C++

    injectionRateSuSp
    {
      e
      {
        Su   constant 4e7;  // 40 MW
        Sp   constant 0;
      }
    }

    The Issue: In the OpenFOAM v12 branch you are using, most compressible solvers (like rhoPimpleFoam or sonicFoam) solve for Enthalpy (h) or Internal Energy (e) in units of Joules per kilogram (J/kg).

When you set volumeMode absolute;, OpenFOAM calculates the total rate for the entire cellSet. However, because the field being operated on is e (specific internal energy), the solver is adding 4×107 Joules per second to the specific energy field.

Essentially, you aren't adding 40 MW of total heat (Q); you are adding 40 MW of energy per unit mass (e) to the flow passing through those cells. Since the energy added is defined on a per-mass basis, it scales automatically with your mass flow.

    At 2 kg/s, it adds enough energy to reach 300 K.

    At 20 kg/s, it adds ten times as much total energy to ensure each kilogram still gains the same 300 K temperature.

2. Why ParaView shows no Gradient

The reason you see a flat 300 K across the entire 240-meter length—rather than a gradual rise—is likely due to the magnitude of your source term.

In your fvModels, the Su value of 4e7 (40,000,000) is being added to the internal energy e. For Hydrogen, which has a very high Cp, an addition of 4×107 J/kg is massive.

    A temperature rise from 20 K to 300 K (ΔT=280 K) only requires approximately 4×106 J/kg.

    By providing 4×107 J/kg, you are providing 10 times more energy than is needed to reach 300 K.

The gas likely hits its thermal equilibrium or a numerical limit almost instantly in the first few cells of the 240m tube. Because the speed of sound in Hydrogen is so high (~1,300 m/s), any pressure or temperature fluctuations communicate upstream instantly, resulting in the "perfectly mixed" uniform profile you see in ParaView.
3. Verification from fvConstraints

I checked your fvConstraints to see if there was a temperature "clamp" (like limitTemperature) that was forcing the gas to stay at 300 K.

    Observation: You have a limitU (velocity limit) set to 4000 m/s, but no temperature limits are active.

    Conclusion: This confirms the 300 K isn't being "forced" by a constraint; it is the natural result of your energy source term scaling perfectly with your mass flow.

Recommended Fix

If you want to simulate a fixed 40 MW total power regardless of mass flow, you need to adjust your Su value to account for the fact that it is being applied to the specific energy field (J/kg).

Alternatively, if you want to see a gradient, you should apply the heat source only to a small section or use a codedSource to distribute the 40 MW linearly along the length of the 240m tube.

(th)

Offline

Like button can go here

#184 2025-12-18 21:48:23

tahanson43206
Moderator
Registered: 2018-04-27
Posts: 24,148

Re: OpenFOAM

In this post, Gemini provides the correct format for the fvModels control file:

Thank you ** very ** much for isolating the problem to the configuration of that small sequence in fvModels! May I ask what would be the correct specification? I understand that my error was in thinking that 40 megawatts would be understood. Do I need to enter the corresponding number of joules per second? You mentioned an option to see an increase of temperature as the gas moves along the pipe, but I'm wondering if that would match the Real Universe behavior we would see if we created a physical model?

    Query successful

To fix the issue and achieve a realistic temperature rise in your hydrogen flow, we need to correct the "Su" coefficient in your fvModels file.

The core of the problem is that while you correctly set volumeMode absolute;, OpenFOAM does not interpret the 4e7 as 40 Megawatts (J/s). Instead, it interprets it as an addition to the specific energy field (e), which has units of Joules per kilogram (J/kg).

By providing a constant value of 4×107 to the e field, you were essentially telling the solver: "Every kilogram of hydrogen passing through this zone must gain exactly 40 million Joules of energy," regardless of how many kilograms are flowing through per second.
1. The Correct Specification

In OpenFOAM v12, when you use scalarSemiImplicitSource on the e (or h) field with volumeMode absolute, the value you provide for Su must be the Total Power (W) divided by the Density (ρ) of the fluid in that region.

The Calculation: To inject 40 MW (4×107 W) into a flow of 2 kg/s:

    Mass Flow (m˙): 2 kg/s

    Target Power (Q): 4×107 Watts

    Required specific energy gain (Δe): Q/m˙=40,000,000/2=20,000,000 J/kg

Updated fvModels Entry:
C++

    injectionRateSuSp
    {
      e
      {
        Su   constant 2e7;  // This adds 20 MJ per kg, resulting in 40 MW at 2 kg/s
        Sp   constant 0;
      }
    }

Note: If you increase the flow to 20 kg/s, you must manually decrease this Su to 2e6 to keep the total power at 40 MW.
2. Matching "Real Universe" Behavior

In a physical 240-meter pipe with a internal heater, the gas would not jump to 300 K instantly. You would see a streamwise temperature gradient (a "ramp" from 20 K to 300 K) as the hydrogen absorbs energy while traveling.

To see this gradient in your simulation, you should avoid applying the heat to the entire 240m tube at once. Instead:

    Define a Heater Zone: Use topoSet to create a cellSet for only a small "intake" section (e.g., the first 5 or 10 meters).

    Observe the Flow: You will see the temperature rise sharply within that zone and then remain at the final elevated temperature as it travels through the remaining "passive" 230 meters of the tube.

3. Why You Saw a Flat Profile

The reason your 240m tube showed a perfectly uniform 300 K is that your original Su of 4e7 was so high (40 MJ/kg) that the hydrogen reached its maximum possible temperature within the first few cells of the mesh. Because the rest of the tube was also part of the heaterCells set, the solver kept "heating" the gas that was already at its equilibrium, resulting in the flat, uniform reading you observed.

Programming in OpenFOAM: Adding energy equation Part 2

This video is relevant as it provides a detailed walkthrough of how the energy equation is implemented in OpenFOAM, which is critical for correctly defining thermal source terms like yours.

Programming in OpenFOAM: Adding energy equation Part 2
Engineering Downloads · 6.9K views

(th)

Offline

Like button can go here

#185 2025-12-19 12:52:17

tahanson43206
Moderator
Registered: 2018-04-27
Posts: 24,148

Re: OpenFOAM

In order to find out if the recommended adjustment to the energy flow into the intake makes any difference, I made the adjustment and then restarted the run from zero for 7 seconds. Each second will take about 8 hours, so this run will finish late Sunday.  I ** hope ** it will finish before the weekly Google Meeting so I have something to report. We'll see.

Update Saturday afternoon:

ExecutionTime = 83624.69 s  ClockTime = 83813 s

volFieldValue heatBoxStats write:
    sum(heaterCells) of e = 1.982952e+09

volFieldValue T_avg write:
    volAverage(heaterCells) of T = 306.2702

volFieldValue rho_sum write:
    sum(heaterCells) of rho = 1632.22

Courant Number mean: 0.04050316 max: 0.6999999
deltaT = 3.511269e-06
Time = 2.5993772s

The value I am watching is average temperature. We have ramped up the intake to full flow of 2 kg/s, while maintaining a steady input of energy. We have been flushing the initial 1 bar contents of the model and that process should be well along and the flow of new hydrogen has been steady for half a second. The previous runs have shown a steady improvement of thrust for the first four seconds.  This run is set for 7 seconds so we should see a stable set of readings. The temperature reading is just above the previously recorded 300 Kelvin and falling slowly.

(th)

Offline

Like button can go here

#186 2025-12-20 19:41:37

tahanson43206
Moderator
Registered: 2018-04-27
Posts: 24,148

Re: OpenFOAM

I changed the end time for the run from 7 seconds to 5 seconds, in order to have something to report at Sunday's Google Meeting.

The average temperature is dropping toward 300 Kelvin, which is the number we have seen previously. 

ExecutionTime = 110281.7 s  ClockTime = 110482 s

volFieldValue heatBoxStats write:
    sum(heaterCells) of e = 7.289785e+08

volFieldValue T_avg write:
    volAverage(heaterCells) of T = 301.1352

volFieldValue rho_sum write:
    sum(heaterCells) of rho = 1735.545

Courant Number mean: 0.04045121 max: 0.7
deltaT = 3.579375e-06
Time = 3.3354451s

Flow rate is 2 kg/s and "e" is half the value used for the high flow below.
The high flow run used a flow rate of 20 kg/s.

For comparison, here is the end of the high flow run:

volFieldValue heatBoxStats write:
    sum(heaterCells) of e = 4.514843e+08 << slightly greater than sum of "e" for 2 kg/s run

volFieldValue T_avg write:
    volAverage(heaterCells) of T = 299.9988 << same as 2 kg/s run

volFieldValue p_avg write:
    volAverage(heaterCells) of p = 911583.2 << 9 bar

volFieldValue rho_sum write:
    sum(heaterCells) of rho = 17682.52 << 10 times greater than rho for the 2 kg/s run

End

And here is the report at 5 seconds, for the 2 kg/s second case with 1/2 the power input specified.
This may be a distinction without a difference. ChatGPT5 specified 40 MW for the run.
Gemini recommended 20 MW per kilogram so 40 MW for this run.
The question to be answered is which of the recommendations was correct.

ExecutionTime = 167695.6 s  ClockTime = 167969 s

volFieldValue heatBoxStats write:
    sum(heaterCells) of e = 4.375687e+08

volFieldValue T_avg write:
    volAverage(heaterCells) of T = 299.9418

volFieldValue rho_sum write:
    sum(heaterCells) of rho = 1763.822

End

We don't have the pressure report because I added it into the control file after the run started. It will be available for the next run.

The only difference that jumps out at me is the rho figures... the 20 kg/s run shows 10 times more rho sum than the 2 kg/s run.

I don't know what rho means in this context, but hope to find out eventually.

(th)

Offline

Like button can go here

#187 2025-12-21 14:54:44

tahanson43206
Moderator
Registered: 2018-04-27
Posts: 24,148

Re: OpenFOAM

And here's the thrust chart the 2 kg/s run with 1/2 "e" set.

The result looks identical to the 2 kg/s run with 4e7 Joules per second.

file.php?id=137

(th)

Offline

Like button can go here

#188 2025-12-22 13:48:23

tahanson43206
Moderator
Registered: 2018-04-27
Posts: 24,148

Re: OpenFOAM

I just started another 5 second run to test the hypothesis that we are not actually heating anything, despite control statements that are ** supposed ** to have that effect.  If the hypothesis is correct, the output of the run will look identical to the graph in Post #187.

Assuming for a moment that the hypothesis is confirmed, then we (participants and onlookers alike) would be justified in asking what accounts for the 1/2 bar thrust we are seeing at the exit from the nozzle. If the heat we called for is not being fed into the system, then ** where ** is the energy coming from that is driving that hydrogen out the nozzle at 2 kg/s?

My guess is that there is an agent at work that we have not accounted for.

One possible agent might be the force that pushes hydrogen into the intake.

We told the software that we are feeding 2 kg/s into the intake, regardless of pressure that might be present, so the software may simply compute the consequences of that input, without asking where the energy to force that input is coming from.

It seems to me that it would be a good idea to try to understand what the model is doing, before we do more work with it.

If a reader of this post can see the graph in Post #187 while studying this text, it may be worth repeating the events that are occurring in the five seconds of the run.  I just checked and the graph and this text take up more than one screen.  An alternative is to open a second browser session.

Here is a brief summary of the set up and sequence of events:

We open the run with the model primed with hydrogen at 1 bar throughout the model. The exit plane is closed.

At the instant we start the run, two events occur:

First, we open the exit plane to vacuum, and we turn on the heaters (it now turns out the heaters are (probably) not coming on)

Effectively, therefore, at the opening moment, all we are doing is releasing the engine compartment to vacuum.

In the next small interval of time, we begin feeding hydrogen via the intake, and we ramp up the flow to 2 kg/s over 2 seconds.

In the graph we can see thrust falling, rising to nearly 5 tons-force, and then falling dramatically before wiggling a bit before smoothing out just past 2 seconds.

I don't pretend to understand the fluctuations. All I know is that the hydrogen that was in the model rushes out the exit.

It would take someone with far more insight than I have to explain those bounces.

What we ** all ** can see is that after the flow of cold (20 Kelvin) hydrogen reaches 2 kg/s, things settle down and we get a steady 1/2 ton-force of thrust.

As reported earlier, if we are NOT feeding energy into the system, then ** something ** is driving that flow, and I suspect the unaccounted for power needed to push hydrogen into the intake is the agent that is working so hard. 

If that turns out to be the case, then I am glad we made a mistake in setting up the energy feed, because whatever this unexplained force may be would not have been recognized.

I suppose this is a way of making lemonade out of a lemon.

(th)

Offline

Like button can go here

#189 2025-12-24 14:48:56

tahanson43206
Moderator
Registered: 2018-04-27
Posts: 24,148

Re: OpenFOAM

The five second run with no heating just ended after 46+ hours ... Average was 9.4 hours per second.

The results will be analyzed and reported later today. Here is the initial data dump:

ExecutionTime = 168120.7 s  ClockTime = 168459 s

volFieldValue heatBoxStats write:
    sum(heaterCells) of e = 4.375687e+08

volFieldValue p_avg write:
    volAverage(heaterCells) of p = 90911.75

volFieldValue T_avg write:
    volAverage(heaterCells) of T = 299.9418

volFieldValue rho_sum write:
    sum(heaterCells) of rho = 1763.822

End

The key information I am seeing immediately is the temperature. it should have fallen to 20 K because intake is 2 kg/s at 20K and with no heating that value should have overcome initial temperature.  It did not, so there is a setting somewhere in the configuration that forces 300K despite absence of energy.

Pressure is just under one bar.  I don't think the pressure in that chamber should be anything like that.  My guess is that the bogus 300 Kelvin is coming from a configuration setting.

file.php?id=142

The model is reporting 1/2 bar of thrust with no energy input.  That means some setting is causing enough energy to enter the system to cause the output shown. The next phase of inquiry is to find out what that setting is.

For anyone seeing this chart for the first time, the spikes are caused by release of gas in the model before the run starts.  To avoid math errors, we preload the model with hydrogen at 1 bar.  At the beginning of the run we open the exit plane to vacuum. Gas rushes out although the fall-rise-fall sequence is currently unexplained.  What is ** really ** a mystery is the thrust reported after 2 kg/s of hydrogen at 20 Kelvin flows steadily at the 2 seconds mark.

(th)

Offline

Like button can go here

#190 2025-12-25 19:47:11

tahanson43206
Moderator
Registered: 2018-04-27
Posts: 24,148

Re: OpenFOAM

ChatGPT5 found the 300 Kelvin that has been an unwanted heater in all previous runs. The setting was present in a control file called T (for temperature).

We've agreed to drop it to 21 Kelvin (one above the arriving hydrogen) and I'll repeat the run without heating.

Whatever thrust we see should be a lot less than the previous value.  We were unintentionally heating the arriving hydrogen to 300 Kelvin due to an incorrect configuration setting.  I understand 300 Kelvin is a value used in tutorials to give students a safe running start. 

Here is the control file we will change:

/*--------------------------------*- C++ -*----------------------------------*\
  =========                 |
  \\      /  F ield         | OpenFOAM: The Open Source CFD Toolbox
   \\    /   O peration     | Website:  https://openfoam.org
    \\  /    A nd           | Version:  12
     \\/     M anipulation  |
\*---------------------------------------------------------------------------*/
FoamFile
{
    format          ascii;
    class           volScalarField;
    location        "0";
    object          T;
}
// * * * * * * * * * * * * * * * * * * * * * * * * * * * * * * * * * * * * * //

dimensions      [ 0 0 0 1 0 0 0 ];

internalField   uniform 300;

boundaryField
{
    wallSection
    {
        type            zeroGradient;
    }
    frontAndBackPlanes
    {
        type            empty;
    }
    heatedWall
    {
        type            zeroGradient;
    }
    inlet
    {
        type            fixedValue;
        value           uniform 300;
    }
    outlet
    {
        type            zeroGradient;
    }
}


// ************************************************************************* //

(th)

Offline

Like button can go here

#191 2025-12-25 20:45:24

tahanson43206
Moderator
Registered: 2018-04-27
Posts: 24,148

Re: OpenFOAM

A new run without the beginner's training wheels is underway. 

We are starting a 21 degrees Kelvin and pumping 20 degree hydrogen into the model.  We are NOT heating anything, so we should see dramatic drops in Temperature and Thrust.  It would be pointless to apologize for the 300 Kelvin setting error.  That dated to a time when nothing was working, and ChatGPT4o (at the time) was trying to get the model to run at all. I had no idea what we were doing at the time, and have very little now.  My role has been to try to keep a frisky horse headed down the road that leads to success, and often the fog has obscured the path.  We seem to be ** almost ** where I want to be as we head into 2026. We'll tackle the non-performing volume heating.  ChatGPT5 thinks a single parameter may be a factor.  In any case, that question is ** out there ** for 2026.

This is what the start of the new run looks like:

Create time

Create mesh for time = 0

Selecting solver fluid
Selecting thermodynamics package
{
    type            hePsiThermo;
    mixture         pureMixture;
    transport       const;
    thermo          eConst;
    equationOfState perfectGas;
    specie          specie;
    energy          sensibleInternalEnergy;
}

Selecting turbulence model type laminar
Selecting laminar stress model Stokes
No MRF models present

Courant Number mean: 0 max: 0
Selecting thermophysical transport type laminar
Selecting default laminar thermophysical transport model unityLewisFourier
fluid(user): accessing fvModels
Creating fvConstraints from "system/fvConstraints"

Selecting finite volume constraint type limitMag
    Name: limitU
    - selecting all cells
    - selected 37875 cell(s) with volume 14.16882 << cubic meters - volume of entire model

PIMPLE: No convergence criteria found


PIMPLE: Operating solver in transient mode with 1 outer corrector
PIMPLE: Operating solver in PISO mode



Starting time loop

    - selecting cells using cellSet heaterCells
    - selected 24000 cell(s) with volume 12.10301


    - selecting cells using cellSet heaterCells
    - selected 24000 cell(s) with volume 12.10301


    - selecting cells using cellSet heaterCells
    - selected 24000 cell(s) with volume 12.10301


    - selecting cells using cellSet heaterCells
    - selected 24000 cell(s) with volume 12.10301


    - selecting cells using cellSet heaterCells
    - selected 24000 cell(s) with volume 12.10301


surfaceFieldValue massFlow_in:
    total faces  = 25
    total area   = 0.0504292


surfaceFieldValue massFlow_out:
    total faces  = 89
    total area   = 0.4099995


volFieldValue heatBoxStats write:
    sum(heaterCells) of e = -6.768003e+10

volFieldValue p_avg write:
    volAverage(heaterCells) of p = 101325

volFieldValue T_avg write:
    volAverage(heaterCells) of T = 21 << this is the biggy!  21 Kelvin new default

volFieldValue rho_sum write:
    sum(heaterCells) of rho = 28077.9

volFieldValue rho_mass write:
    volIntegrate(heaterCells) of rho = 14.15946 << I ** think ** this is kilograms of hydrogen

Courant Number mean: 0 max: 0
deltaT = 1.2e-06
Time = 1.2e-06s

diagonal:  Solving for rho, Initial residual = 0, Final residual = 0, No Iterations 0
smoothSolver:  Solving for Ux, Initial residual = 1, Final residual = 8.139191e-17, No Iterations 1
smoothSolver:  Solving for Uy, Initial residual = 1, Final residual = 1.195559e-16, No Iterations 1
smoothSolver:  Solving for e, Initial residual = 0.374102, Final residual = 0.4868501, No Iterations 200
DILUPBiCGStab:  Solving for p, Initial residual = 1, Final residual = 5.051342e-09, No Iterations 1
diagonal:  Solving for rho, Initial residual = 0, Final residual = 0, No Iterations 0
time step continuity errors : sum local = 2.895415e-16, global = -9.296699e-18, cumulative = -9.296699e-18
DILUPBiCGStab:  Solving for p, Initial residual = 0.04228052, Final residual = 2.135599e-10, No Iterations 1
diagonal:  Solving for rho, Initial residual = 0, Final residual = 0, No Iterations 0

(th)

Offline

Like button can go here

#192 2025-12-26 09:45:26

tahanson43206
Moderator
Registered: 2018-04-27
Posts: 24,148

Re: OpenFOAM

OK.... so we took off the big training wheels and we got 1.2 seconds into the next run and we crashed again.

This time we saw the calculations drop below Absolute Zero for a very good reason.... We are now pushing 20 Kelvin hydrogen through our nozzle, and on the downstream side in the expansion bell, the hydrogen gets even colder.  It can't get colder than Absolute Zero, but the equations don't know that, so they tried and failed.  ChatGPT5 came up with a teeny-tiny-training-wheel to plug into the configuration.  We added that, and we got past the failure point. We appear to be on our way to 5 seconds, while running a system with no heating, pushing 2 kg/s of 20 Kelvin gas through the pipes.  Temperature is falling slightly below 20 Kelvin, and I suppose that makers sense if the gas is moving, but at this point we have not yet built up to the full 2 kg/s intake flow.

I would expect that after the ramp phase, the system should settle near 20 Kelvin, but we'll see.

Thrust should be very small, but i suppose there will be some, because the intake pumps are pushing gas into the intake, and when it pushes through the nozzle it will provide some modest thrust.  ChatGPT5 acknowledged that we are not accounting for the work the pumps are doing. That can be added to the model if we want to go that far. When we add heating the input from the pumps will be a relatively small part of the picture.

Update at 1.5 seconds ... the system is holding together .... The next major event is full ramp at 2 seconds.

Pressure is down to half a bar as hydrogen exhausts through the port to vacuum. It will be interesting to see what that pressure looks like at 5 seconds. The nozzle will impede the outflow but not much. After all, we are still using the 25 centimeter throat, which is like a barn door.

(th)

Offline

Like button can go here

#193 2025-12-27 08:08:46

tahanson43206
Moderator
Registered: 2018-04-27
Posts: 24,148

Re: OpenFOAM

Success!  Our teeny-tiny-training-wheels brought us through the most difficult test yet for our extendedMerlin model!

As I had hoped, the temperature in the intake dropped from the initial state of 21 Kelvin to slightly under 20.

The physics of why the temperature dropped below the intake temperature of 20 Kelvin remains to be explained, but at least the temperature is not ABOVE 20, which would have meant heat is creeping in. 

Here is the end of the log for this run. More results will be shown as they become available.  I am particularly interested to see what thrust might occur when we are pumping 2 kg/s of hydrogen into a chamber at 20 Kelvin, with a 25 centimeter throat in the nozzle. 

ExecutionTime = 77654.09 s  ClockTime = 77710 s Total run time is 23.2 hours for 5 seconds

volFieldValue heatBoxStats write:
    sum(heaterCells) of e = -6.794891e+10

volFieldValue p_avg write:
    volAverage(heaterCells) of p = 29260.18 Pressure about 1/3 bar

volFieldValue T_avg write:
    volAverage(heaterCells) of T = 19.89894 Temperature just under 20 Kelvin - success!

volFieldValue rho_sum write:
    sum(heaterCells) of rho = 8558.407

volFieldValue rho_mass write:
    volIntegrate(heaterCells) of rho = 4.315936 Kilograms of hydrogen in the intake during steady flow

End

This configuration looks favorable for a test of heating.  We appear to have eliminated the unwanted artificial heating left over from efforts to get the model to work at all. 

Here is the plot of thrust over 5 seconds:
file.php?id=143

Just two events occur:

1) At the opening of the run, the exit to vacuum is opened.

The model is filled with 21 K hydrogen at 1 bar.
The thrust plot shows a decrease to 1 second

2) At the opening of the run, intake is zero, but it ramps up to 2 kg/s at 2 seconds

At 1 second into the run, intake has reached 1 kg/s, and the plot turns up.

I have NO idea why we see fluctuations in thrust as we do, but I ** assume ** that the very low value at second #5 is approaching steady state.

In a later update to this post, I hope to have a better understanding of the graph.

(th)

Offline

Like button can go here

#194 2025-12-27 12:29:38

tahanson43206
Moderator
Registered: 2018-04-27
Posts: 24,148

Re: OpenFOAM

A new run from 5 seconds to 6 is under way.  We did not succeed in activating heating, but we examined the C++ source code and discovered that we had the fvModels control file in the wrong folder.  I moved the file to the constant folder and we'll test that in the run from 6 to 7.  If that still doesn't work, we'll keep chipping away at the problem. Having the ability to look at the C++ code is going to save a lot of time otherwise spent looking at documentation that necessarily is always out of date.

Here is a current set of readings from the run. As you can see, heating is NOT in effect.

ExecutionTime = 7620.97 s  ClockTime = 7634 s

volFieldValue heatBoxStats write:
    sum(heaterCells) of e = -6.79029e+10

volFieldValue p_avg write:
    volAverage(heaterCells) of p = 27859.24

volFieldValue T_avg write:
    volAverage(heaterCells) of T = 20.08736 << temperature holding near 20 Kelvin


volFieldValue rho_sum write:
    sum(heaterCells) of rho = 8073.13

volFieldValue rho_mass write:
    volIntegrate(heaterCells) of rho = 4.071215 << mass flow holding steady at 2 kg/s through 240 meters of thin pipe

volFieldValue T_min_global write:
    min() of T = 3.59888 at location (3.849383 -1.606627 0) in cell 12461 << low temperature in exhaust region

volFieldValue T_max_global write:
    max() of T = 59.8083 at location (2.032665 -1.392874 0) in cell 5415 << high temperature a much more reasonable value in exhaust

Courant Number mean: 0.03205363 max: 0.4546303
deltaT = 1e-05
Time = 5.57252s

Update: We ** think ** this is the correct format for the fvModels control file.

cat fvModels

/*--------------------------------*- C++ -*----------------------------------*\
| =========                 |                                                 |
| \\      /  Field         | OpenFOAM: The Open Source CFD Toolbox           |
|  \\    /   Operation     | Version:  v12                                   |
|   \\  /    And           |                                                 |
|    \\/     Manipulation  |                                                 |
\*---------------------------------------------------------------------------*/
FoamFile
{
    version     2.0;
    format      ascii;
    class       dictionary;
    location    "constant";
    object      fvModels;
}

    uniformIntakeHeater
    {
        type        semiImplicitSource;
        active      yes;

        select      cellSet;
        cellSet     heaterCells;

        volumeMode  absolute;   // "absolute" = total quantity over the selected region

        sources
        {
            e
            {
                explicit constant 4e7;   // 40 MW total (see notes below)
                implicit 0;
            }
        }
    }

(th)

Offline

Like button can go here

#195 2025-12-27 14:22:59

tahanson43206
Moderator
Registered: 2018-04-27
Posts: 24,148

Re: OpenFOAM

Here is the END segment from a run from 5 seconds to 6 seconds without heating:

ExecutionTime = 13219.89 s  ClockTime = 13241 s

volFieldValue heatBoxStats write:
    sum(heaterCells) of e = -6.787134e+10

volFieldValue p_avg write:
    volAverage(heaterCells) of p = 27021.8 << pressure remains about 1/3 bar

volFieldValue T_avg write:
    volAverage(heaterCells) of T = 20.2166 << Temperature rose slightly but still close to intake value of 20 Kelvin

volFieldValue rho_sum write:
    sum(heaterCells) of rho = 7780.5

volFieldValue rho_mass write:
    volIntegrate(heaterCells) of rho = 3.923644 << mass in transit is down slightly

volFieldValue T_min_global write:
    min() of T = 6.233037 at location (3.518248 0.8179872 0) in cell 12649

volFieldValue T_max_global write:
    max() of T = 268.7256 at location (0.3285167 -1.186068 0) in cell 485

End

file.php?id=144

This graph includes a trend line for the stretch from 0 to 5.  Thrust from 5 to 6 appears steady.

The next run, from 6 to 7, will once again attempt heating.

(th)

Offline

Like button can go here

#196 2025-12-27 15:11:58

tahanson43206
Moderator
Registered: 2018-04-27
Posts: 24,148

Re: OpenFOAM

We appear to be heating for the first time since we converted from convective heating to volume heating.

We had to modify C++ code to pull this off, and we had to look at C++ code in the OpenFOAM package to find out where to put the control file.

Here is a first look at heating ...

ExecutionTime = 313.5988 s  ClockTime = 315 s

volFieldValue heatBoxStats write:
    sum(heaterCells) of e = -6.41323e+10

volFieldValue p_avg write:
    volAverage(heaterCells) of p = 44334.91 << pressure is rising

volFieldValue T_avg write:
    volAverage(heaterCells) of T = 35.52796 << Temperature is rising

volFieldValue rho_sum write:
    sum(heaterCells) of rho = 7266.394

volFieldValue rho_mass write:
    volIntegrate(heaterCells) of rho = 3.664384 << mass of hydrogen in the intake dropped slightly

volFieldValue T_min_global write:
    min() of T = 9.704211 at location (3.61611 0.7043972 0) in cell 12652  << Minimum temperature rose

volFieldValue T_max_global write:
    max() of T = 251.2137 at location (0.2689682 -1.275142 0) in cell 483  << Maximum temperature rose modestly

Courant Number mean: 0.04461615 max: 0.7000433
deltaT = 9.507157e-06
Time = 6.021175s  << We are on our way from 6 seconds to 7

We appear to be pumping 40 MW into the hydrogen we are feeding into the heating pipe.

This is the first time we've had ** real ** heating going on since the conversion from convective heating. We were misled for weeks by a set of training wheels set in place long ago, to try to get the model working.  With those removed we crashed, but a teeny-tiny-training wheel appears to have allowed us to run cold hydrogen through a cold engine without crashing the equations.  Now, with heating enabled, we ** should ** get a chance to see GW Johnson's predictions come to live (in the model).  It is a long way from a model to a working system of course.

If this test run succeeds with a normal END at 7 seconds, it will be time to start shrinking the throat to the 3 centimeters diameter that GW Johnson says is in the ballpark for an engine of this type.  As a reminder for anyone who might be reading this for the first time, we are using a 25 centimeter throat we inherited along with the rest of the Merlin engine model.

(th)

Offline

Like button can go here

#197 2025-12-27 15:32:30

tahanson43206
Moderator
Registered: 2018-04-27
Posts: 24,148

Re: OpenFOAM

Heating is ** definitely ** happening !!!

Here is a snapshot a bit later in the run from 6 seconds:

ExecutionTime = 2404.361 s  ClockTime = 2408 s

volFieldValue heatBoxStats write:
    sum(heaterCells) of e = -4.162717e+10

volFieldValue p_avg write:
    volAverage(heaterCells) of p = 129669.6 << pressure is over 1 bar

volFieldValue T_avg write:
    volAverage(heaterCells) of T = 127.6866 << temperature is rising

volFieldValue rho_sum write:
    sum(heaterCells) of rho = 6085.611

volFieldValue rho_mass write:
    volIntegrate(heaterCells) of rho = 3.068925 << mass in transit is still falling

volFieldValue T_min_global write:
    min() of T = 22.78135 at location (-240.275 0.16 0) in cell 37871 << Minimum is near 20 Kelvin at the intake as expected

volFieldValue T_max_global write:
    max() of T = 140.7114 at location (-229.025 0.192 0) in cell 37025 << Note location of Maximum near the intake

Courant Number mean: 0.03568566 max: 0.700014
deltaT = 5.474501e-06
Time = 6.134944s

With any luck, we'll have something to study at the upcoming Google Meeting. 

We are half way through the first second with full power!  The model is holding together!  We are building up toward whatever pressure we can achieve with a huge 25 centimeter gaping opening in our inherited nozzle. 

ExecutionTime = 17146.57 s  ClockTime = 17224 s

volFieldValue heatBoxStats write:
    sum(heaterCells) of e = 5.866925e+10

volFieldValue p_avg write:
    volAverage(heaterCells) of p = 260897.1 <<  Approaching 3 bar

volFieldValue T_avg write:
    volAverage(heaterCells) of T = 538.4008 <<  Approaching 1000 Kelvin

volFieldValue rho_sum write:
    sum(heaterCells) of rho = 4179.439

volFieldValue rho_mass write:
    volIntegrate(heaterCells) of rho = 2.107658 <<  mass in transit is still falling
    ( I think this measurement may mean that each 2 kg of hydrogen has only 1 second to make the trip)
    ( that is a mere guess and I am looking forward to GW Johnson commenting upon this reading)

volFieldValue T_min_global write:
    min() of T = 22.45217 at location (-240.275 0.16 0) in cell 37871 <<  Minimum remains near 20 Kelvin at intake

volFieldValue T_max_global write:
    max() of T = 630.6631 at location (-0.182823 -0.1878 3.407286e-18) in cell 3401 <<  We are seeing maximum just before throat

Courant Number mean: 0.03708925 max: 0.700002
deltaT = 2.522913e-06
Time = 6.5241923s

GW Johnson estimated a temperature of 1000 Kelvin as a lower bound for a successful run. We seem to be headed in that direction.

(th)

Offline

Like button can go here

#198 2025-12-28 06:58:54

tahanson43206
Moderator
Registered: 2018-04-27
Posts: 24,148

Re: OpenFOAM

This is what success looks like after an 8 month slog:

Credit for this achievement goes primarily to ChatGPT4o and ChatGPT5. However, Gemini provided critical tips that helped greatly at key moments. Gemini provided the tip that there is an extension module in OpenFOAM. Gemini also suggested volume heating.

My role was (and remains) to harness these frisky critters and keep them focused on the goal, as laid out in April of 2025 by kbd512 and GW Johnson.

ExecutionTime = 48357.25 s  ClockTime = 48536 s <<  13 hours 30 minutes for one second of run time

volFieldValue heatBoxStats write:
    sum(heaterCells) of e = 1.854644e+11 <<  total energy in the heater section

volFieldValue p_avg write:
    volAverage(heaterCells) of p = 211113.2 <<  pressure in Pascal > roughly 2+ bar

volFieldValue T_avg write:
    volAverage(heaterCells) of T = 1057.627 <<  Temperature in Kelvin inside the heat pipe

volFieldValue rho_sum write:
    sum(heaterCells) of rho = 3783.745 << 

volFieldValue rho_mass write:
    volIntegrate(heaterCells) of rho = 1.908112 << Mass of hydrogen in the heater in kilograms

    I ** think ** this means the 2 kg/s of hydrogen fed into the intake passes through in less than one second

volFieldValue T_min_global write:
    min() of T = 22.41585 at location (-240.275 -0.16 0) in cell 37621 <<  Temperature at intake with 20 K hydrogen

volFieldValue T_max_global write:
    max() of T = 2484.949 at location (-0.182823 -0.1878 3.407286e-18) in cell 3401 <<  Temperature just ahead of nozzle

End

Note: Processing time increased from 4 hours per second with no heating to 13+ hours with heating. Every cell of the model has to be processed each time interval, and the time interval decreases automatically as conditions require.

Reminder: the results shown above were achieved with a throat diameter of 25 centimeters.  Future direction for this study is to reduce the throat to 3 centimeters, as recommended for this particular design using hydrogen.  We should see intake pressure increase when we implement that change.

(th)

Offline

Like button can go here

#199 2025-12-28 08:52:44

tahanson43206
Moderator
Registered: 2018-04-27
Posts: 24,148

Re: OpenFOAM

I asked ChatGPT5 to evaluate the run, and it reported that results look reasonable.  It suggested removing one of the data reports we are doing during the run, since it contributes nothing useful.  It debated the performance of the model at some length, before deciding upon the analysis given below.

extendedMerlin: What the run tail is telling us (and why it’s consistent with 40 MW / 2 kg/s)

Bottom line: the tail you posted looks like a true “heater ON” case. The heater region is now hot on average, pressure has risen above the initial fill, and the numbers line up with the energy scale you intended.

1) Heater-region state: the key numbers

Heater-region average temperature
T_avg(heaterCells) = 1057.6 K
This is the big win: the heating tube is now genuinely hot (not a hidden 300 K crutch).

Heater-region average pressure
p_avg(heaterCells) = 211,113 Pa2.11 bar absolute
That’s consistent with strong energy addition to a compressible flow in a confined region.

Hydrogen inventory in the heater region
rho_mass = 1.908 kg (mass contained in the heater cellSet right now)

From that, you can estimate the “residence time” (how long a parcel of gas spends in the heater region):

Residence time (tau) ≈ inventory / mass-flow-rate
tau ≈ (1.908 kg) / (2 kg/s) ≈ 0.95 s

This matters because it connects directly to your intended energy-per-kg.

2) Energy scale sanity check

The energy you are injecting per kilogram (idealized) is:

Energy per kg ≈ Q / m_dot
Energy per kg ≈ (40,000,000 J/s) / (2 kg/s) = 20,000,000 J/kg
So: ~20 MJ/kg

That is exactly the scale you were targeting.

3) “Does 1058 K make sense for 40 MW?”

A simple first-pass estimate for temperature rise (very approximate) is:

DeltaT ≈ Q / (m_dot * c_p)

For hydrogen, c_p is “on the order of” ~10,000 to 15,000 J/(kg*K) in the temperature range you’re entering (and your eConst model keeps the thermo simplified).

So:

DeltaT ≈ 40,000,000 / (2 * (10,000 to 15,000))
DeltaT ≈ 1330 K to 2000 K (rough scale)

Starting at ~20 K, a naive estimate lands around ~1350–2000 K.

You observed:
[] T_avg(heaterCells) ~ 1058 K
[] T_max_global ~ 2485 K

That’s still very believable because:
[] energy is not all staying as “sensible temperature” inside the heater region (some goes into kinetic energy, pressure-work, and exits with the flow),
[] your T_avg is volume-weighted (hot low-density zones can skew volume statistics differently than mass-weighted values),
[] the flow can have strong gradients, so a local max of ~2500 K near the engine end is plausible.

4) Why the run slowed down when heating turned on

For compressible flow, a key scaling is:

speed of sound a is proportional to sqrt(T)

So if temperature rises from ~20 K to ~1000 K, wave speeds rise by:

sqrt(1000 / 20) = sqrt(50) ≈ 7.07

Many compressible solvers must reduce deltaT (time step) as wave speeds rise to maintain stability. So it is normal for “seconds per simulated second” to get worse when the flow becomes hot and fast.

5) Two diagnostics that will help in team discussions

A) Avoid arguments: don’t use sum(e) as “total energy”
Your “sum(e)” is summing a field with units of J/kg across cells. That’s useful directionally, but it’s not “total energy in Joules.”

A physically meaningful heater-region energy is:

E_heater = integral over heaterCells of (rho * e) dV
Units: (kg/m^3)*(J/kg)*m^3 = J

If you track E_heater vs time, then:
[] you can discuss “how many Joules are in the heater region,” and
[] you can estimate how many MW are accumulating (DeltaE / DeltaT), separate from what is leaving with the flow.

B) Add a mass-weighted temperature
Volume-average temperature can mislead in compressible flow. A mass-weighted temperature is:

T_massWeighted = ( integral of rho*T dV ) / ( integral of rho dV )

You already compute integral(rho dV) via rho_mass. If you also integrate rho*T over heaterCells, you can compute a heater-region temperature that tracks what the mass is “feeling.”

6) Thrust: a quick “reasonableness envelope” before the plot

If (very roughly) ~20 MJ/kg is available to turn into exhaust kinetic energy, the characteristic velocity scale is:

v ~ sqrt(2 * E)
v ~ sqrt(2 * 20,000,000) = sqrt(40,000,000) ≈ 6325 m/s

Then thrust scale:

F ~ m_dot * v
F ~ (2 kg/s) * (6325 m/s) ≈ 12,650 N = 12.7 kN

That’s not a promise—just a sanity-check scale. Real nozzle/flow losses reduce it, and energy also goes into other forms. But it gives your team a ballpark to compare against the thrust plot you’re about to generate.

7) Interpreting your Tmin/Tmax locations

[] T_min_global ~ 22.4 K at x ≈ −240 m (far upstream)
This is actually comforting: it suggests the intake region remains cold, and heating is not magically “warming everything.”
[] T_max_global ~ 2485 K at x ≈ −0.18 m (near the engine/nozzle end)
Hotspots near the downstream end can happen due to compression/acceleration and local residence-time effects once the upstream heating pushes the system into a hot flow regime.

I'll work on generating the thrust plot next.

(th)

Offline

Like button can go here

#200 2025-12-28 13:19:51

tahanson43206
Moderator
Registered: 2018-04-27
Posts: 24,148

Re: OpenFOAM

Here is the thrust plot for our first successful run...

file.php?id=145

Heat turns on at 6 on the time chart.  All the activity in 0-5 is due to venting the model to vacuum.

The model is initialized to 1 bar of hydrogen at 21 Kelvin.

At time zero we open the exit port to vacuum and start ramping up a flow of hydrogen at 20 Kelvin.

At 2 seconds we have reached the full flow of hydrogen while the venting is still in progress. 

ChatGPT5 computed the sound wave in hydrogen at 20K as close to the resonance frequency of our 240 meter pipe, so the activity we see in the chart may show that sound wave activity.  things settle in the stretch from 5 to 6 seconds... At 6 seconds we start heating.

You can see a bit of a rise before the system settles down to about 8.5 kiloNewtons.  I'll schedule another run after tonight's Google Meeting just to be sure the system is stable before we start adjusting the throat diameter.

(th)

Offline

Like button can go here

Board footer

Powered by FluxBB