Page 1 of 2
Images for FluxBB
Posted: Sun Nov 30, 2025 11:38 pm
by tahanson43206
This topic is created for NewMars members to store images to link to FluxBB NewMars.com/forums
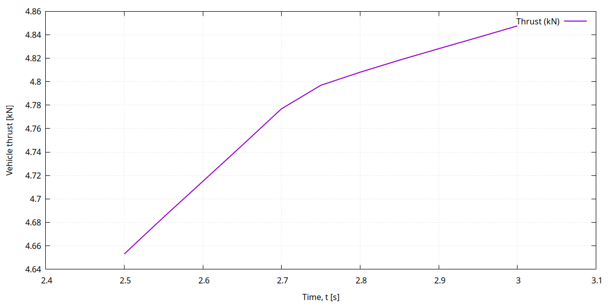
Re: Images for FluxBB: Thrust for extendedMerlin
Posted: Sun Nov 30, 2025 11:53 pm
by tahanson43206
This image shows thrust developed in a version of extendedMerlin using volume heating and started from zero.
The data shown starts near second 2 and reaches second 3

- Thrust of extendedMerlin using volume heating
- thrust_over_time.png (36.99 KiB) Viewed 77 times
Re: Images for FluxBB
Posted: Mon Dec 01, 2025 1:38 am
by GW Johnson
test posting of image

- nozzle behavior
- F2 nozzle behavior.png (24.09 KiB) Viewed 67 times
basic behavior of nozzles as Pc/Pa decreases
Re: Images for FluxBB: Calliban's Dome in Crater
Posted: Mon Dec 01, 2025 4:13 pm
by tahanson43206
This image is generated by Gemini 2025/12/01
It reflects correspondence between Calliban, kbd512 and SpaceNut.
Re: Images for FluxBB
Posted: Mon Dec 01, 2025 4:46 pm
by tahanson43206
The image saved here was created by Gemini 2025/12/01 ... it is a rendering of ideas of Calliban, kbd512 and SpaceNut for a masonary structure on Mars.

- Cropped Image of Calliban's Dome in a Crater
- DomeInCraterCroppedSmall.jpg (217.26 KiB) Viewed 58 times
Re: Images for FluxBB
Posted: Mon Dec 01, 2025 7:27 pm
by tahanson43206
Recreating images 1 and 2
It appears the files have to be copied from the Azure server to the local machine, and then uploaded to the new server.

- id2 rocket perf to fixed expansion.png (53.12 KiB) Viewed 55 times

- id1 thrust coeffcient form.png (46.64 KiB) Viewed 55 times
Re: Images for FluxBB: Side view of Calliban's Dome
Posted: Tue Dec 02, 2025 1:46 am
by tahanson43206
This image was generated by Gemini's Nano Banana artist agent...

- Side view of interior of 200 meter dome 120 meters high
- SideViewDome.jpg (206.91 KiB) Viewed 52 times
Re: Images for FluxBB: Thrust at 3 seconds 20 kg/s run
Posted: Wed Dec 03, 2025 2:38 am
by tahanson43206
This image shows a plot of thrust of the extendedMerlin engine with 20 kg/s hydrogen flow instead of 2 kg/s
Re: Images for FluxBB: Charts of run from 3 to 6
Posted: Thu Dec 04, 2025 2:48 am
by tahanson43206
These charts show average temperatures in the intake, and something called sumE. I have no idea what that might be, but whatever it is, it is decreasing.
png files go here

- sumE chart
- Image Chart sumE 20 kg s run.png (57.42 KiB) Viewed 16 times

- Average Temperature 20 kg/s
- Image Chart Average Temp 20 kg s.jpeg (85.68 KiB) Viewed 16 times
Re: Images for FluxBB: NASA crater image
Posted: Thu Dec 04, 2025 1:34 pm
by tahanson43206
This image was suggested by Google's Gemini to show the general appearance of Louis Crater near the Viking 1 landing site.

- Similar to Louis Crater near Viking 1 landing site
- RampartCraterimages.jpeg (9.18 KiB) Viewed 12 times