For tips for members
-
tahanson43206
- Posts: 91
- Joined: Sun Nov 30, 2025 8:46 pm
Post
by tahanson43206 »

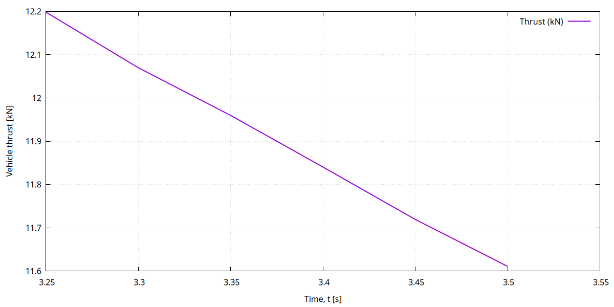
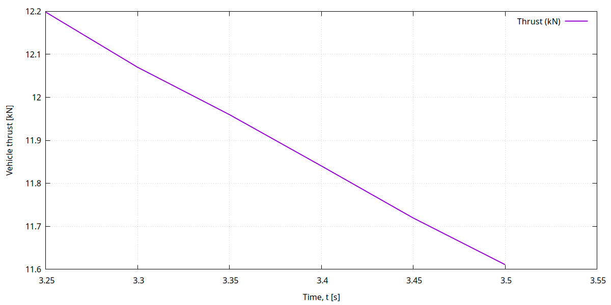
- 15 01 thrust_over_time.png (44.51 KiB) Viewed 92 times
-
tahanson43206
- Posts: 91
- Joined: Sun Nov 30, 2025 8:46 pm
Post
by tahanson43206 »

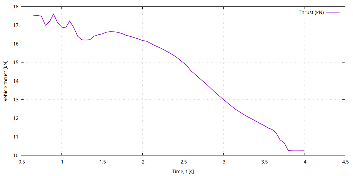
- 13 01 thrust_over_time.png (33.06 KiB) Viewed 92 times
-
tahanson43206
- Posts: 91
- Joined: Sun Nov 30, 2025 8:46 pm
Post
by tahanson43206 »

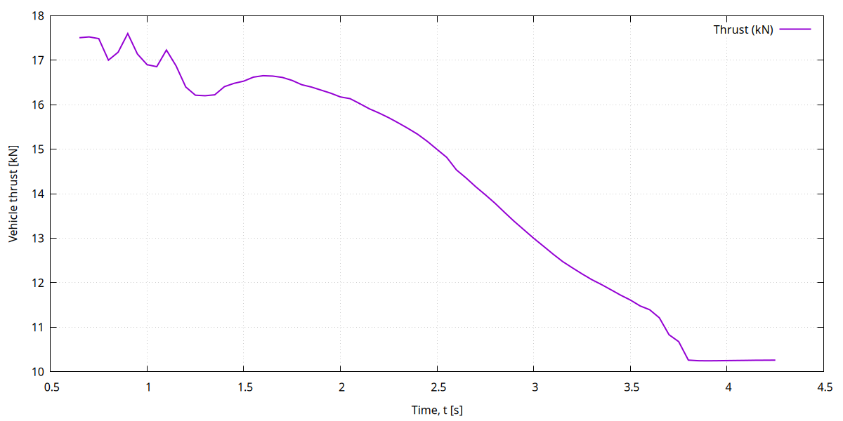
- 12 01 thrust_over_time.png (35.38 KiB) Viewed 92 times

- 12 02 20251106IntakePressureAt3-75Seconds.png (11.14 KiB) Viewed 92 times
-
tahanson43206
- Posts: 91
- Joined: Sun Nov 30, 2025 8:46 pm
Post
by tahanson43206 »

- 11 07 20251106IntakeAt4SecondsVelocity.png (11.86 KiB) Viewed 92 times
-
tahanson43206
- Posts: 91
- Joined: Sun Nov 30, 2025 8:46 pm
Post
by tahanson43206 »

- 10 07 20251108IntakeAt4.25Velocity.png (12.01 KiB) Viewed 92 times